9月25日,云南省2025中学生物理竞赛复赛省三获奖名单已发布,自主选拔在线团队特整理相关内容,一起来看!
推荐阅读:2025年物理竞赛全年赛事一览
重点查看:2025年第42届中学生物理竞赛复赛通知、试题及获奖名单汇总
① 资料下载:
福利资料:为帮助低年级考生高效备考,特整理《从0到1物理竞赛备考攻略手册》电子资料
领取链接:https://www.zizzs.com/form?xyppid=577412083163866409
② 资料下载:
福利资料:《近10年物理竞赛决赛试题及答案》PDF
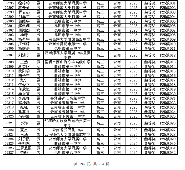
云南省2025年中学生物理竞赛复赛省三获奖名单

温馨提示:五大学科竞赛国家集训队成员可保送清北。获金牌、银牌的考生在强基计划入围、综合评价初审中,学科竞赛奖项可提升竞争力。备考同学可加入“五大学科竞赛交流群”,获取最新竞赛资讯~
扫描下方二维码进群
如果你还有其他疑问,或想了解最新招生政策、有升学规划需求、领取最新试题,可在企业微信联系人中 添加白杨老师(微信号:15321584637)好友,并备注“高考年份+省份+姓名”,老师会统一邀请大家进群~




























